News Releases

Equity Metals Crews and Drill Mobilized to commence Winter ’26 Program on the Silver Queen Ag-Au Property, British Columbia, Arlington Property Drill Results Evaluated

January 28, 2026

Equity Metals Corporation (TSX.V: EQTY) (“Equity” or the “Company”) reports that crews have mobilized in preparation for drilling on its 100% owned 18,871-hectare Silver Queen Property, northern British Columbia.

In this initial drilling program, sixteen-holes totaling 4,200 metres are planned to test parts of the existing resource model and will include twinning of several historical holes.  Intercepts will be used to continue validation of the historical drill results, and mineralization from the new holes will be used for additional metallurgical test work on the No. 3 vein. This phase of the 2026 program is designed to further de-risk the project in preparation for economic assessment.

In addition to this first phase of the 2026 program, a larger exploration/development program is planned on the property, which will include:

  • Relogging and sampling of several historical drill holes from 2017-18;
  • Re-establishing underground access to the historical workings via the Earl Adit on the No. 3 Vein for lidar scanning and re-sampling purposes; and
  • Drilling on newly developed greenfields targets in the broader district generated in part through the Fall ’25 sampling program and earlier compilation.

The No. 3 Vein hosts the single largest resource currently identified on the Silver Queen property and with its southern extension, the NG-3 Vein, account for 65% of the currently modelled mineral resources on a AgEq basis. The NI43-101 Mineral Resource Estimate with effective date December 1st, 2022 is detailed in a News Release issued on Jan 16, 2023, which can be found by clicking here and the full Technical Report can be found on SEDAR+ and the Company’s website.

 


Figure 1: Plan of the Silver Queen project area showing proposed drill pads for Winter 2026 testing

 

Arlington Property Update

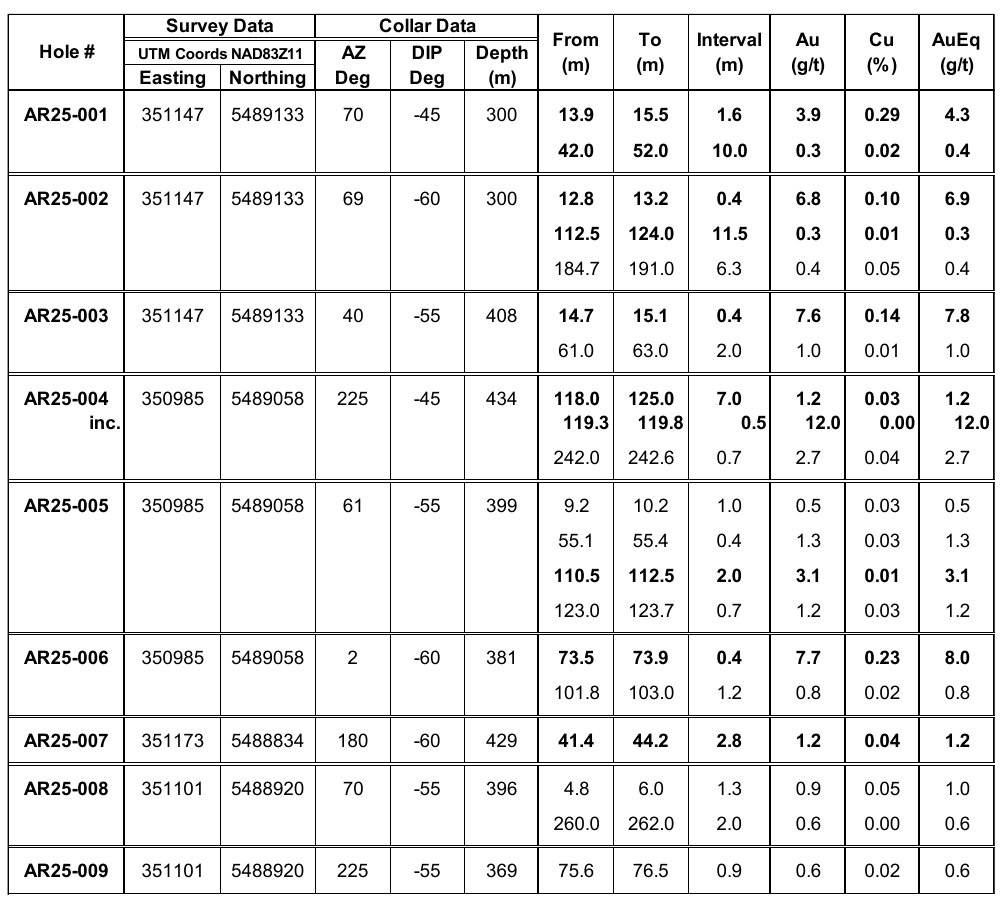
The company also reports that final assays from 2025 drilling on the Arlington property have been received. Nine core holes totalling 3,407 metres were completed and tested three separate “hot-spot” clusters of strongly anomalous Au-Ag-As values within the South Fresh Pots soil anomaly (Figure 2).

Drilling intersected several, shallowly dipping gold-enriched quartz veins within a granodioritic host rock

Assay highlights include:

  • A 1.6 metre interval averaging 3.9g/t Au, 0.29% Cu, (6.6g/t AuEq), from AR25-001;
  • A 7.0 metre interval averaging 1.2g/t Au, 0.03% Cu, (1.2g/t AuEq), from AR25-004; and
  • A 2.0 metre interval averaging 3.1g/t Au, 0.01% Cu, (3.1g/t AuEq), from AR25-005;

President Joe Kizis commented, “Drill results at South Fresh Pots indicated gold is closely associated with copper and a small granodiorite intrusion, potentially the distal part of a copper/gold-related intrusive system. The mineralization and IP chargeability (see figure and inset) suggest a vector towards a magnetic high beneath the North Fresh Pots target, which may be the source intrusion with thicker zones of mineralization surrounding the intrusion.”

Figure 2: 3-D rendering of the South Fresh Pots area showing potential vectoring to a conductivity high located beneath the north Fresh Pots target

Work on the property in 2026 will include a Spring surface mapping and sampling program designed to upgrade new target areas for drilling, particularly the North Fresh Pots, Rona and Arlington target areas.

Earlier surface work on these targets includes a short Pack sack drill interval in the North Fresh Pots which returned a 0.7 metre interval of 2.2g/t Au, 11.34g/t Ag and0.35% Cu in magnetite skarn and surface chip sampling from the Arlington south area by previous management which returned  11.7g/t Au, 211g/t Ag and 3.22% Cu (see BC Assessment Report 41159).

 

Figure 3: 2026 drill hole distribution on the Arlington property

 

Table 1: Select Composites from 2025 Drilling on the No. 3 North Target

Table 1: Select Composites from 2025 drilling on the Arlington property, BC  

Notes: drill core samples were analyzed by FA/AAS for gold and 48 element ICP-MS by MS Analytical, Langley, BC. Silver (>100ppm), copper, lead and zinc (>1%) overlimits assayed by ore grade ICP-ES analysis, High silver overlimits (>1000g/t Ag) and gold overlimits (>10g/t Au) re-assayed with FA-Grav. Silver >10,000g/t re-assayed by concentrate analysis, where a FA-Grav analysis is performed in triplicate and a weighed average reported. Downhole composites calculated using a 80g/t AgEq (1g/t AuEq) cut-off and <20% internal dilution, except where noted. Accuracy of results is tested through the systematic inclusion of QA/QC standards, blanks and duplicates into the sample stream. AuEq and AgEq were calculated using prices of $2,360/oz Au, $28.50/oz Ag, $4.25/lb Cu, $0.90/lb Pb and $1.20/lb Zn. AuEq and AgEq calculations utilized relative metallurgical recoveries of Au 70%, Ag 80%, Cu 80%, Pb 81% and Zn 90%.

Note that true thickness cannot be precisely calculated at this time, but is estimated between 70% and 80% of the down hole thickness

About Equity Metals Corporation

Equity Metals Corporation is a member of the Malaspina-Manex Group. The Company owns 100% interest, with no underlying royalty, in the Silver Queen project, located along the Skeena Arch in the Omineca Mining Division, British Columbia. The property hosts high-grade, precious- and base-metal veins related to a buried porphyry system, which has been only partially delineated. The Company also has a controlling JV interest (57.49%) in the Monument Diamond project, NWT, strategically located in the Lac De Gras district within 40 km of both the Ekati and Diavik diamond mines. As well, the Company has an option to acquire a 100% interest in the Arlington Property, located within the Boundary District of south-central British Columbia where 2025 exploration work consisted of geophysics and diamond drilling designed to identify and delineate an apparent gold system.

Robert Macdonald, MSc. P.Geo, is VP Exploration of Equity Metals Corporation and a Qualified Person as defined by National Instrument 43-101. He is responsible for the supervision of the exploration on the Silver Queen project and for the preparation of the technical information in this disclosure. He has reviewed and approved this news release.
 

On behalf of the Board of Directors

“Joseph Anthony Kizis, Jr.”

Joseph Anthony Kizis, Jr., P.Geo

President, Director, Equity Metals Corporation

For further information, visit the website at https://www.equitymetalscorporation.com; or contact us at 604.641.2759 or by email at corpdev@mnxltd.com. 

Neither TSX Venture Exchange nor its Regulation Services Provider (as that term is defined in the policies of the TSX Venture Exchange) accepts responsibility for the adequacy or accuracy of this release. This news release may contain forward-looking statements. Forward-looking statements address future events and conditions and therefore involve inherent risks and uncertainties. Actual results may differ materially from those currently anticipated in such statements. Factors that could cause actual results to differ materially from those in forward looking statements include the timing and receipt of government and regulatory approvals, and continued availability of capital and financing and general economic, market or business conditions.  Equity Metals Corporation does not assume any obligation to update or revise its forward-looking statements, whether as a result of new information, future events or otherwise, except to the extent required by applicable law.

Subscribe for Email Updates